A recent report from the U.S. Centers for Disease Control and Prevention (CDC) paints a two-sided picture of prostate cancer, the second-leading cause of cancer-related death for men in the United States. The report showed that while the incidence of prostate cancer has been declining over the past two decades, the number of cases in which it has spread to other parts of the body doubled between 2003 and 2017.
Robert Klein, PhD, Associate Professor in the Icahn Institute for Data Science and Genomic Technology and the Department of Genetics and Genomic Sciences, Icahn School of Medicine at Mount Sinai, has devoted his career to understanding the progression of the disease and its impact on survival.
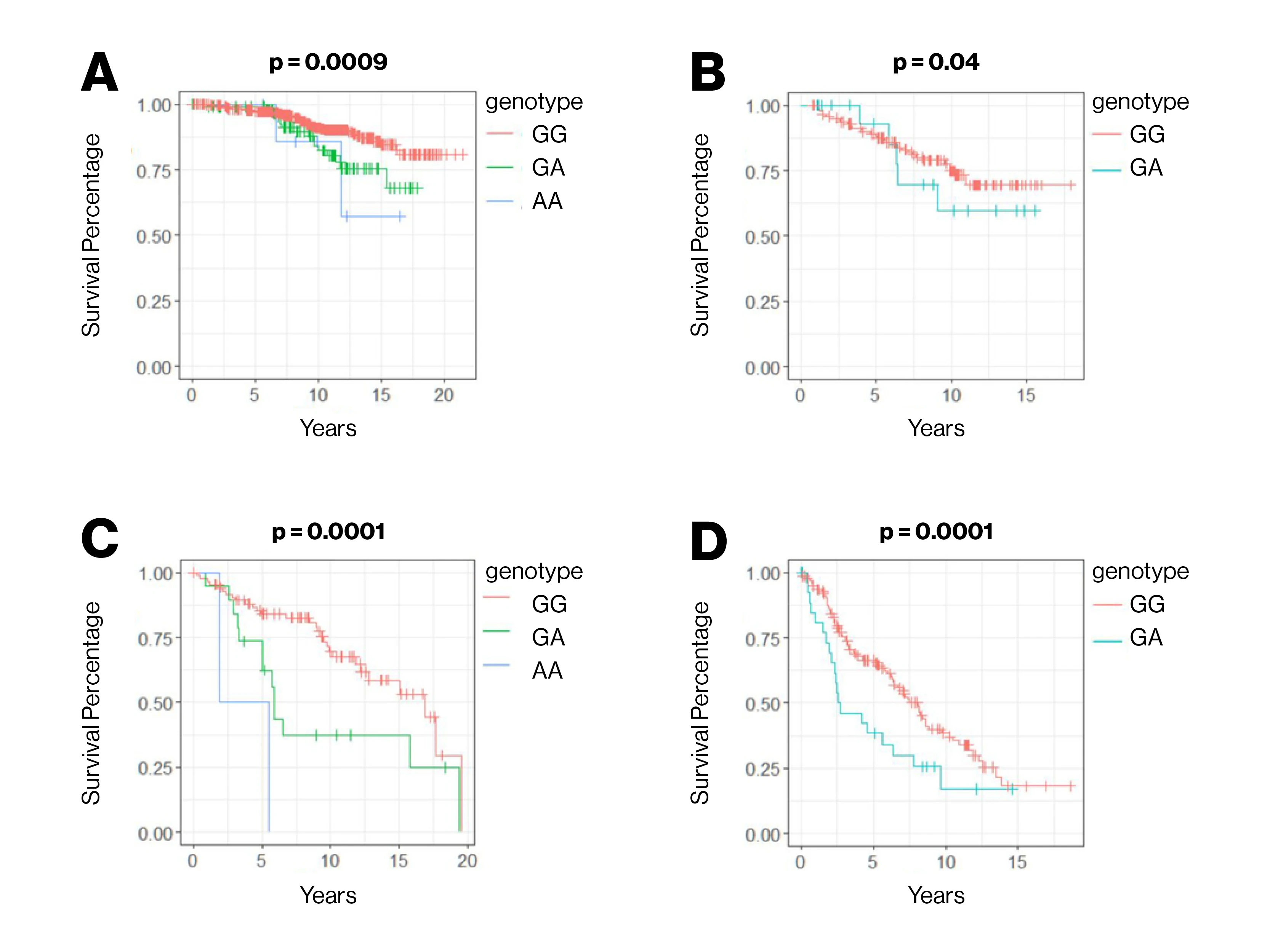
In a paper published in 2018, Dr. Klein and his research team conducted a genome-wide scan of more than 11,000 men in Sweden and identified 12 single nucleotide polymorphisms (SNPs) at 7 independent loci associated with prostate cancer-specific survival time. The most important of these potential targets, replicated in a validation cohort, was AOX1, a known protein-coding gene believed to play a role in metabolizing toxic compounds in the body that can lead to cell mutation.
“Our study is the first to definitively show there are specific inherited genetic variants that could affect the survival time of prostate cancer patients,” says Dr. Klein. “And because they are inherited variants, they could be tested at any time.” Just as significant, he adds, is the prospect that these target genes could lead to potent new biomarkers to inform and, perhaps, improve clinical decision-making. They could reduce unnecessary intervention and overtreatment of low-risk, indolent prostate cancers that do not pose a real threat to the patient’s health.
“Our study is the first to definitively show there are specific inherited genetic variants that could affect the survival time of prostate cancer patients.”
Robert Klein, PhD

Overall survival from the time of prostate cancer diagnosis worsens with each additional copy of the “A” allele at the AOX1 gene. This observation holds in both aggressive (A,C) and non-aggressive (B,D) prostate cancer cases, as well as in cases diagnosed at both an advanced (C,D) and non-advanced (A,B) stage.
Featured

Robert Klein, PhD
Associate Professor in the Icahn Institute for Data Science and Genomic Technology and the Department of Genetics and Genomic Sciences
