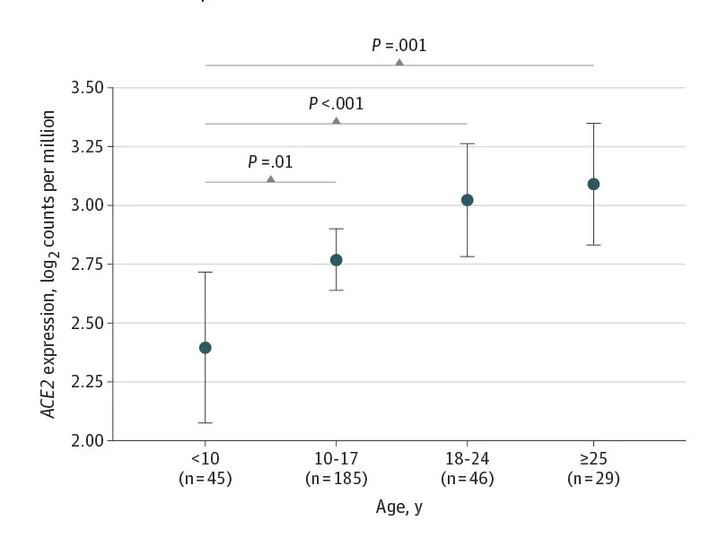
The research, led by Supinda Bunyavanich, MD, MPH, MPhil, examined nasal epithelium from Mount Sinai Health System patients ages 4 to 60. The researchers found ACE2 gene expression in nasal epithelium was age-dependent, lowest in younger children and increasing with age into adulthood. (See JAMA).

Nasal Gene Expression of ACE2 in Different Age Groups
Above: Nasal Gene Expression of ACE2 in Different Age Groups. Data are means
(data points) and 95% confidence intervals (error bars) for angiotensin-converting
enzyme 2 (ACE2) gene expression in younger children (aged <10 years), older children (aged 10-17 years), young adults (aged 18-24 years), and adults (aged ≥25 years). Gene counts are shown as logarithmic log2 counts per million. P values are from linear regression modeling in which ACE2 gene expression in log2 counts per million was the dependent variable and age group was the independent variable. © 2020 American Medical Association.
Interestingly, Dr. Bunyavanich’s data are from a Mount Sinai study she has been leading for several years that looks for nasal biomarkers for asthma. The data, part of a study of 305 individuals between the ages of 4 and 60, includes an atlas of genes that a person expresses in the nose. “We had this library of information on hand, so we homed in on ACE2 given its potential role in COVID-19,” she says.
The researchers found that young children have the least expression of ACE2 in their nasal passages and that the quantity increases with age, so that children 10 to 17 years of age have more than younger children, but less than young adults ages 18 to 24. The highest level was found in individuals 25 and older. The researchers, who also include postdoctoral fellow Anh Do, PhD, and Alfin G. Vicencio, MD, continue their work on airway gene expression signatures in childhood asthma.
Featured

Supinda Bunyavanich, MD, MPH, MPhil
Professor of Pediatrics, and Genetics and Genomic Sciences, and Associate Director of Mount Sinai’s Elliot and Roslyn Jaffe Food Allergy Institute

Alfin G. Vicencio, MD
Professor and Chief, Division of Pediatric Pulmonology; and Vice Chair, Clinical Affairs and Strategy, Department of Pediatrics

Anh Do, PhD
Postdoctoral Fellow, Supinda Bunyavanich laboratory
